libera/##covid-19/ Thursday, 2021-09-30

BrainstormUpdates for Bahrain: +52 cases (now 274977), +15544 tests (now 6.4 million) since 22 hours ago00:04
BrainstormNew from COVID tweets: Eric Topol (@EricTopol): The Phase 3 randomized, placebo-controlled monoclonal antibody combination trial in outpatients with Covid: marked reduction in risk of hospitalization and death @NEJM nejm.org/doi/full/10.10… pic.twitter.com/Z3ECsQo511 → https://is.gd/PwekBa00:05
lastshellhttps://www.haaretz.com/amp/israel-news/mass-inoculation-over-next-days-will-end-israel-s-covid-wave-senior-official-says-1.1024846700:09
nixonixaustralia is very interesting to follow, because they still take every case very seriously (unlike other western world, excl nz). now cases are going down in sydney, but increasing in melbourne (that is closest to south pole, from big cities)00:11
nixonixvery little leaked outside of those two metropolitan areas. and even less to other states00:12
nixonixsomehow they can just ban travelling between states, and federal govt has no say in it00:13
nixonixi think they do 3rd degree contact tracing there, so that not only those places where cases had visited and people who then visited them, but only those other peoples contacts will be traced00:15
BrainstormNew from COVID tweets: Eric Topol (@EricTopol): The pivotal trial  of the Astra-Zeneca vaccine in over 32,000 participants, published today @NEJM. Vaccine efficacy 74% [95% CI 65,80] vs symptomatic infections; maintained across subgroups, age > 65:  84% [54,84] nejm.org/doi/full/10.10… pic.twitter.com/dlwRnrvyc0 → https://is.gd/yAcbRa00:16
imaginarypre-delta screening :(00:21
aannahi00:22
nixonix"The cutoff date for the primary analysis was March 5, 2021"00:22
imaginarynixonix: yeah, i was feeling optimistic00:23
nixonixwell the part that was in latin america, is variants usually more immune evasive than delta. but when it wasnt delta, theres lots of uncertainty if the protection with delta is only slightly reduced (when those unvaxed will also get delta infection more easily), or if there are other factors like high viral loads reducing VE more, compared to00:25
nixonixunvaxed00:25
aannade-facto: apparently much of the existing genome contains old viruses00:25
nixonixevery study should now include time from the last vax dose00:27
nixonixand vax intervals used00:27
nixonixdose00:27
imaginarystudies that start including that info are probably coming out in late 2021/early 2022 :(00:28
aannaI'm 8 months from last dose, they require attestion to get the booster,00:28
dTalThis "cold" going round in the UK looks nasty00:32
dTalit's not covid but you'd hardly tell the difference in most people00:32
imaginarydTal: oh? anything we could read about that?00:33
dTalcoughing, knocks you back for days to up to a week00:33
dTalimaginary: I don't anything more about it than the fact that everyone around me is suddenly sick, and it's all over the news too00:33
dTaljust google "worst cold ever uk"00:34
nixonixyet another genetic trait in play: We tested the specific hypothesis that inborn errors of Toll-like receptor 3 (TLR3)– and interferon regulatory factor 7 (IRF7)–dependent type I interferon (IFN) immunity that underlie life-threatening influenza pneumonia also underlie life-threatening COVID-19 pneumonia00:36
BrainstormNew from COVID tweets: Eric Topol (@EricTopol): Predicting functional changes from amino acid sequence of #SARSCoV2 spike protein receptor binding domain via training a deep neural network, of potential utility to forecast impact of future variants @PNASNews  pnas.org/content/118/42… #AI pic.twitter.com/tkvyu5qtL2 → https://is.gd/mzx70D00:37
dTal"training a deep neural network" i.e. eyeballing it and guessing00:38
nixonixbut there are lots of other genes. foxp4 (lung symptoms) and foxp3 (t-cell activation and death) comes to my mind00:40
nixonixdont get cold. it damages mucous membranes which then allow easier infecting by sars2 (source some finnish hc official)00:42
dTalI mean it's also deeply unpleasant in its own right00:43
nixonixand flu+rona at the same time is supposedly very bad, or can be. they claim now when restrictions have been reduced, there will be flu around next winter00:44
dTalI read that the immune response from a cold can stop an incubating rona infection stone cold00:45
nixonixif its rhino, which beats rona easily in cells. but most colds are some other viruses00:46
ublxwhat00:47
ublxso we just need to give everyone rhinoviruses constantly?00:47
nixonixnot sure if i remember reasoning for that, but i could guess its about interferons, that rhino infection amplify. rona is very sensitive to interferons compared to most other viruses, but its very efficient in suppressing them (maybe not enough during rhino infection)00:47
nixonixtiming would need to be right. it will beat rona even if rhino is inoculated 24h later00:48
nixonix.title https://academic.oup.com/jid/article/224/1/31/617997500:48
Brainstormnixonix: From academic.oup.com: Human Rhinovirus Infection Blocks Severe Acute Respiratory Syndrome Coronavirus 2 Replication Within the Respiratory Epithelium: Implications for COVID-19 Epidemiology | The Journal of Infectious [...]00:48
nixonixyeah interferons "We show that human rhinovirus triggers an interferon response that blocks SARS-CoV-2 replication00:50
nixonixprob alpha or beta which use the same receptor complex in most cells00:51
ublxwonder how many people getting bad course of this bad UK cold have already had asymptomatic covid00:54
ublxbut i suppose long unchallenged immune systems is the most parsimonious explanation00:56
BrainstormNew from r/WorldNews: worldnews: Companies listing being vaccinated as a requirement in job postings s "jumped 20 times" → https://is.gd/3YTEMB00:58
sdfgsdfghad a terrible case of conjunctivitis a few weeks ago, then got flu symptoms.My eye was swollen the next day, headache got worse. They say ocular symptoms are heavier in delta01:02
sdfgsdfgmaybe its true, but my test was negative01:02
sdfgsdfgI could swear it was rona though, never had anything like that01:02
sdfgsdfgmaybe the test is shit, or they don't shove the swab far deep enough01:03
nixonixwhat cold virus or viruses are there around now, in uk?01:07
nixonixits not (supposedly) about some generic immune system challenge, or lack of it. it only affects if its similar enough, so there is protectivity (or perhaps interference causing worse symptoms sometimes)01:10
pwr22All of them 😛01:10
nixonixbut if two different infections happen close to each other, immune system might not be fully recovered for the next one. also if you get cold soon after vaccine dose, that could possibly affect things like b-cell affinity maturation01:12
nixonix.title https://bjo.bmj.com/content/early/2021/07/08/bjophthalmol-2021-319450   i dont remember about eye symptoms during active rona, but remembered this one01:16
Brainstormnixonix: From bjo.bmj.com: Corneal confocal microscopy identifies corneal nerve fibre loss and increased dendritic cells in patients with long COVID | British Journal of Ophthalmology01:16
nixonixwould prob be much easier to make some viral vector delivery thinga than fragile mrna in nanoparticles, for biohacking those interferon and TLR genes01:22
BrainstormUpdates for Gibraltar: +9 cases (now 5541), +1120 tests (now 360302) since a day ago01:31
BrainstormNew from Ars Technica: Science: Health workers get panic buttons as COVID deniers get violent → https://is.gd/jq9UB701:45
LjL<ublx> but i suppose long unchallenged immune systems is the most parsimonious explanation ← that scares me wrt cold and flu01:45
nixonixits only if there is cross-protection between viruses. and there are over 200 known human respiratory viruses01:49
nixonixsure on population level, some oc43 epidemic and like is a bit worse after long pause01:50
ublxfor viral/immune dynamics reasons?01:50
nixonixwhats that01:51
nixonix"The team found that 20% of people hospitalized with severe COVID-19 had high or intermediate levels of autoantibodies to type I IFNs. Autoantibodies were also found in at least 18% of people who died from the disease. In contrast, people with no or mild symptoms had very low levels of these autoantibodies. The researchers estimate that the01:51
nixonixautoantibodies may account for about 20% of total fatal COVID-19 cases01:51
nixonixso they found 20%, the other study back then found 10%01:52
nixonixThe risk of having such autoantibodies increased with age. For example, while fewer than 10% of people under the age of 40 with severe COVID-19 had active levels of these autoantibodies, more than 21% of those over the age of 80 had them. The researchers also found evidence of autoantibody production in uninfected volunteers. They were found in01:52
nixonixless than 1% of people between 18 and 69 years; in 2.3% of those between 70 and 79 years; and in 6.3% of those 80 years and older. This suggests that type I IFN autoantibodies existed before infection and become more common past age 7001:52
nixonixincreasing the risk to 20x or more for middle-aged and younger. but less increase among old01:53
nixonix"In a related paper published in the same issue of Science Immunology, the researchers identified another rare genetic defect that occurs only in men and results in disruption of IFN production. They estimated that this genetic risk factor accounts for at least 1% of cases of life-threatening COVID-19 in men under the age of 60.01:53
nixonix.title https://www.nih.gov/news-events/nih-research-matters/misdirected-antibodies-linked-severe-covid-1901:54
Brainstormnixonix: From www.nih.gov: Misdirected antibodies linked to severe COVID-19 | National Institutes of Health (NIH)01:54
nixonix“We can neatly explain much of severe COVID-19 as a net defect in type I IFN,” Casanova says. “To an extent never seen for any other acute infectious disease, these… studies collectively provide a molecular and immunological explanation for about 20% of critical cases.” Autoantibodies against IFNs—at even very low levels—can be01:55
nixonixscreened for in the clinic.01:55
nixonixanother new study found infected macrophages in humans, but no increased cytokine or inflammatory signalling from them, and found no replicating. even went as far as thinking it might be protective thing, macrophages collecting virions away from circulation. ADPC01:59
nixonix*ADCP probably (antibody-dependent cellular phagocytosis, using heavy chain end of IgG abs)02:02
nixonix.title https://journals.asm.org/doi/10.1128/mBio.01987-2102:03
Brainstormnixonix: From journals.asm.org: Antibody-Dependent Enhancement of SARS-CoV-2 Infection Is Mediated by the IgG Receptors FcγRIIA and FcγRIIIA but Does Not Contribute to Aberrant Cytokine Production by Macrophages | mBio02:03
nixonixseems to be different in mice then, if true02:05
nixonix.title https://www.nature.com/articles/s41591-021-01540-1  not very interesting imo, exp the quote that follows02:06
Brainstormnixonix: From www.nature.com: Correlates of protection against symptomatic and asymptomatic SARS-CoV-2 infection | Nature Medicine02:06
nixonix"High levels of protection were noted after vaccination with one dose of a lipid nanoparticle RNA vaccine, despite modest levels of neutralizing antibody, strongly supporting the concept that other mechanisms are at play as co-correlates of protection02:06
nixonixWe have previously shown that a wide range of Fc-mediated antibody functions are induced by vaccination, and it is possible that these functions may be important in the absence of neutralizing antibody34. Furthermore, strong T cell responses induced by ChAdOx1 nCoV-19 may contribute to protection14,16 and have been associated with recovery from02:06
nixonixCOVID-19 disease02:06
LjLwhy does this feel like deja vu02:20
LjL<Brainstorm> New from Reddit (test): Covid2019: Llama antibodies have ‘significant potential’ for treating COVID, UK health officials say: nanobodies produced by a llama named Fifi were found to have high efficacy against COVID-19 in hamsters, a first step toward developing a drug for humans.02:21
LjLhaven't we heard that sort of thing already several times... several months ago? and it's still at "a first step"?02:21
LjL$ grep -i llama */*covid-19*/* */*coronavirus/* | grep -i nanobod | wc -l02:22
LjL1002:22
LjLsometimes it feels like this is a slow motion farce02:22
BrainstormUpdates for France: +5057 cases (now 7.0 million) since 21 hours ago — United Kingdom: +25898 cases (now 7.8 million), +122 deaths (now 136636) since 21 hours ago02:33
Pawel[m]1My opinion: Seems like Norway is not going to continue with "life full of fear of covid". I'm happy to see that. Sounds like a reasonable approach to me, although I know you lot will be unhappy about my saying this.02:35
Pawel[m]1Based on: https://www.thelocal.no/20210924/norway-to-ease-covid-19-travel-rules-in-phased-plan/02:35
LjLthat does seem like a very personalized interpretation of what Norway is actually doing or at least being reported as doing02:40
LjLi will note various european countries have tightened and relaxed... and tightened and relaxed again... their travel restrictions at various points in time, depending on how things were going02:41
LjLi also question the usefulness of a "you lot" approach to discussion, but whatever02:41
nixonix[Wednesday, July 15, 2020] [12:59:46 AM EEST] <nixonix> they are small, and may fit better in target sites and be more effective than human antibodies02:42
LjLnixonix, i know, right? why do they make it sound like they're still at the very earliest stage of research and it's a new thing they've just found out? if it's useful, dammit, let's use them. if it's not let's not.02:42
nixonixi also wrote: "yeah i thought it right when i read, that just use llamas, not camels (hopefully no MERS in llamas)02:43
LjLoh so that's why you were wondering if llamas can catch MERS02:44
nixonixalso lactoferrin from cows was in discussion in summer 2020 (we had it here again this summer, cant remember who was selling it, maybe it was finns)02:45
LjLlol, you quote yourself talking about those, i'll quote myself talking about that02:47
LjLfreenode/##covid-19/2020-10-30.log:[05:30:32] <LjL> but this lactoferrin leaves me perplexed, at least as a prophylactic, because i understand it sequesters iron for the body. that might be good to hinder the virus, but it's not too good if you end up with an iron deficiency02:47
LjLbut you have better memory than i do, i remembered about llama/camel nanobodies but lactoferrin... not really02:47
nixonixand chicken eggs i think, IgY: "chicken monoclonal IgY antibodies proved to be more specific when compared to polyclonal antibodies in recognizing a single unique epitope02:48
LjLoh so clearly the reason we don't use these things is a chicken-egg problem02:48
nixonixits a circle! like 90s in fashion again etc02:48
BrainstormNew from r/WorldNews: worldnews: U.S. successfully flight tests Raytheon hypersonic weapon -Pentagon → https://is.gd/3nSYKQ02:49
nixonixfrom that july 2020 lactoferrin discussion: "human milk include IL-1β, IL-6, IL-8, IL-10, TNFα, and IFN-γ02:54
nixonixmaybe better not inject it02:55
dTalthey keep running out of human milk at the store02:57
dTalat least, they never have it when I go02:57
LjLi trust that nixonix has been reminded he needs to go buy his human milk real quick before the store runs out later in the morning03:05
BrainstormUpdates for Zambia: +90 cases (now 209002), +1 deaths (now 3648), +6983 tests (now 2.5 million) since a day ago03:11
BrainstormNew from COVID tweets: Eric Topol (@EricTopol): In today's @NEJM, 120 healthcare workers with breakthrough infections (> 6 months out, Pfizer), 85 (71%) symptomatic, 61% contacts (of those w/likely source) were fully vaccinated, median Ct 22, rapid tests missed many nejm.org/doi/full/10.10… pic.twitter.com/oHi6xWwub0 → https://is.gd/eX2aTl03:21
lastshellwhere I am there is a shortage again of toilet paper03:27
lastshellno idea why03:27
lastshellthis remindme of the first days of the pandemic03:28
BrainstormUpdates for Cameroon: +6889 cases (now 92303), +91 deaths (now 1459) since 10 days ago — Guadeloupe: +445 cases (now 53585), +12716 tests (now 457511) since 4 days ago03:36
LjLlastshell, in the UK there is a shortage of petrol. apparently part of it is due, you know, an actual shortage of petrol, but it's mostly fueled (...not) by the fact that because people *think* there's going to be a lack of petrol, they'll hoard it03:42
LjLEnglish has the phrase "self-fulfilling prophecy" that i'm not sure how many other languages have, at least i think not mine03:42
BrainstormNew from COVID tweets: Pink 🍚 (@PinkWug): @shoe0nhead Workplace safety is one of the most important worker's rights. It depends on how dangerous you think covid is, but personally, I don't know if I can go to a job knowing people around me might not be vaccinated, especially when I live with people who are more vulnerable. → https://is.gd/Pu2rcD03:42
jbwncsterLjL: https://www.newsobserver.com/news/state/north-carolina/article254580002.html03:44
LjLwhy is Brainstorm posting from someone who's not at all in my COVID list ;(03:44
lastshellLjL yeah I hear is a supply issue03:46
LjLjbwncster, don't know what to say about these reports, honestly. it irks me when people on Reddit (at least i usually witness it on Reddit) gloat about anti-vaxxers dying from COVID. i assume there is no gloating in this case, but, gah, "On the night of Sept. 26, after it was certain her son wasn’t going to survive, Demello wrote a goodbye on Facebook." - i... let this be my implicit judgment on the parent(s) and the media03:49
jbwncsterIt’s kinda sad03:50
Raf[m]When he went to the doctor’s office, however, Gilreath found out he had a sinus infection. It was a few days before he could get a prescription for oral antibiotics filled and start taking the medicine. By that point, the infection had combined with a staph infection and had started to move toward his brain, Demello said.04:07
LjLoh, i just thought i was about as braindead as him since i read about the sinus infection and yet missed that antibiotics prescription "detail"04:18
LjLbut turns out the article mentions the sinus infection caused the death twice, and i only read the other part04:18
Raf[m]yeah, I couldn't understand what they meant by sinus infection. it seems unrelated to COVID. and then he had the staph infection, so what did he really die from?04:25
LjLi don't know, but it's long been the standard here (unless it stopped, but it definitely used to be) to give antibiotics to people hospitalized with COVID, because there are many opportunistic infections04:26
LjLthe direct cause of death may not be COVID but if you get a random bacterial infection that you mostly likely wouldn't have gotten without having a serious case of COVID, then...04:26
BrainstormUpdates for Canada: +4282 cases (now 1.6 million) since 23 hours ago — Bermuda: +99 cases (now 5244), +10 deaths (now 72), +3798 tests (now 541307) since a day ago — Anguilla: +20 cases (now 409), +3983 tests (now 42919) since a day ago04:38
Raf[m]<LjL> "the direct cause of death may..." <- Touche04:47
BrainstormNew from COVID tweets: Eric Topol (@EricTopol): Good news: US Hospitalizations are declining >1,000 a day, test positivity now < 6% for the first time since July, new cases are down 14% in past weekBad news: Over 2,300 deaths reported todaynewsnodes.com/us pic.twitter.com/cnhUnyNE2g → https://is.gd/7xbW8v04:57
BrainstormUpdates for United Kingdom: +26367 cases (now 7.8 million), +115 deaths (now 136673) since 21 hours ago — France: +4710 cases (now 7.1 million) since 21 hours ago — New Zealand: +33 cases (now 4160), +16537 tests (now 3.4 million) since 21 hours ago05:03
BrainstormNew from COVID tweets: Eric Feigl-Ding (@DrEricDing): ⚠️NATURAL IMMUNITY versus VACCINES—Which is stronger? Let’s compare reinfection breakthroughs vs vaccine breakthroughs: ➡️Natural immunity is **MUCH weaker than vaccine** protection. By how much? HUGE—Vaccine is 📌9x stronger in May, 📌2x stronger during #DeltaVariant.🧵 #COVID19 [... want %more?] → https://is.gd/XNKfMn05:18
BrainstormUpdates for Belgium: +2589 cases (now 1.2 million), +14 deaths (now 25595), +55744 tests (now 20.0 million) since 23 hours ago — Pakistan: +1742 cases (now 1.2 million), +39 deaths (now 27729), +52635 tests (now 19.4 million) since 23 hours ago06:05
LjL<Brainstorm> New from r/WorldNews: worldnews: Ontario now recommending against Moderna vaccine for men 18-24 → https://is.gd/qUiR7P06:07
LjLstill due to myocarditis06:07
BrainstormNew from r/WorldNews: worldnews: Ontario now recommending against Moderna vaccine for men 18-24 → https://is.gd/gl2Zp306:10
BrainstormUpdates for Germany: +73 deaths (now 93989) since 23 hours ago06:30
BrainstormNew from The Indian Express: World: Melbourne cases hit pandemic record even as lockdown nears two months → https://is.gd/DYKhbE07:24
BrainstormUpdates for Sarawak, Malaysia: +2967 cases (now 207137) since a day ago — United Kingdom: +18337 cases (now 7.8 million), +155 deaths (now 136713) since 13 hours ago — France: +3018 cases (now 7.1 million) since 4 hours ago — Lombardy, Italy: +438 cases (now 883343), +5 deaths (now 34037) since a day ago07:32
BrainstormNew from BMJ: Seven days in medicine: 22-28 September 2021: Covid-19Youngest are least willing to have vaccineA survey in EClinicalMedicine of over 27 000 schoolchildren aged 9-18 in Berkshire, Buckinghamshire, Oxfordshire, and Merseyside found that only 36%... → https://is.gd/X0YKNB08:07
BrainstormUpdates for India: +23529 cases (now 33.7 million), +189 deaths (now 447507) since 22 hours ago — Kyrgyzstan: +6 cases (now 178450), +3492 tests (now 1.7 million) since 23 hours ago08:34
BrainstormNew from COVID tweets: Tyler Black, MD (@tylerblack32): Oklahoma data showing that the reinfection rate of previously infected people is double the breakthrough rate of previously vaccinated people. pic.twitter.com/Z8yzEURcSn → https://is.gd/o2wK8a08:49
BrainstormNew from The Indian Express (Health): Health: Is it safe to undergo joint replacement surgery during Covid-19 pandemic? → https://is.gd/Zs9uts09:11
BrainstormUpdates for St. Kitts and Nevis: +27 cases (now 1918), +1 deaths (now 13), +2702 tests (now 41035) since a day ago09:36
BrainstormUpdates for Laos: +358 cases (now 23846), +1 deaths (now 18), +6337 tests (now 495213) since 23 hours ago — India: +170 deaths (now 447568) since 15 hours ago10:38
BrainstormNew from StatNews: Opinion: Repurposing drugs can speed new treatments for Covid-19: Drug repurposing has saved lives during the pandemic. Veklury (the brand name for remdesivir) was originally developed to fight Ebola. Others are in the pipeline. → https://is.gd/4efm7D10:47
sdfgsdfgI hope this was the last wavve11:01
sdfgsdfgthings can't get worse than this right ?11:01
undefined_bobthey can11:02
sdfgsdfghow so11:02
undefined_bobfor example a new mutation against which the vaccine doesn't work well11:02
undefined_boband the whole shit can start from fresh11:03
sdfgsdfgnah, should be fine11:07
undefined_bobdepends11:11
BrainstormNew from BMJ: The BMJ Awards 2021: “Landmark” study on dexamethasone wins paper of the year: Researchers whose rapid investigations into possible covid treatments that helped to save over a million lives worldwide have won a top prize in this year’s BMJ Awards.The Recovery collaborative... → https://is.gd/ftLmCE11:19
BrainstormNew from BMJ: The UK should take the lead in pushing for reform of WHO, MPs say: The covid-19 pandemic put a spotlight on the “shortcomings” of the World Health Organisation, highlighting its lack of the funds, power, and independence to respond appropriately, a report by the... → https://is.gd/gwNCj911:41
BrainstormUpdates for Poland: +1205 cases (now 2.9 million), +27 deaths (now 75650), +39449 tests (now 20.9 million) since 23 hours ago — Estonia: +788 cases (now 156257), +5 deaths (now 1357), +6150 tests (now 1.9 million) since 19 hours ago — Germany: +10455 cases (now 4.2 million) since 23 hours ago11:41
dTalundefined_bob: I think if that happens we'll see a rather different response this time around11:59
undefined_bobdTal: you mean more stupidity?12:00
undefined_bobwell, pfizer said they can adjust their vaccine pretty fast, at least12:01
dTalIt'll be brushed off12:01
undefined_bobnot until a massive spike in cases12:02
undefined_bobthe adjustment will take time, the vaccination of a huge part of the people will take time and so on. but yes, I do think it will went better than in the beginning of all this12:03
dTalno I mean that many places have simply given up12:03
dTalif there's a new variant, the prevailing attitude will be "you just have to live with it, back to work"12:04
undefined_boblike Texas and Florida?12:04
dTalWe're basically already there with Delta12:04
undefined_bobtrue12:04
dTalUK lifted all restrictions at the peak of a massive wave of Delta infection12:05
dTalbecause that was the date they'd set, and they'd already pushed it back once12:05
undefined_bobyes, I read about that. Cant find nice words for that12:05
undefined_bobcases are still high in the UK as far as I know12:06
BrainstormNew from BMJ: The BMJ Awards 2021: Research paper of the year: “Dexamethasone in hospitalized patients with covid-19,” by the Recovery Collaborative GroupThe BMJ’s judges said this “landmark trial” had a “profound impact” on outcomes for people with covid-19... → https://is.gd/KTxqz112:13
SpearRavenget vaccinated to save your own life no matter if all the conspiracies are true. no doubt some are12:22
BrainstormNew from BMJ: The BMJ Awards 2021: Outstanding contribution to health: Think back to high summer and the lure of so called “Freedom Day.”1 Were you revelling in the streets on 19 July as ministers withdrew covid restrictions? Or were you, like Michael Marmot, home... → https://is.gd/GZ7pdI12:24
pwr22<dTal> "if there's a new variant, the..." <- Unless it starts killing people a lot again12:25
pwr22If it overwhelms healthcare and death rates rise to 1.5% then I suspect the response will be the same all over again12:26
pwr22And we'll have a new vaccine in a year12:26
pwr22Deaths are the only metric that matters to the decision making I think12:27
dTalYes. Deaths are an easily understood politically relevant statistic. "Percentage of people with nebulously reduced QALYs" isn't.12:41
BrainstormNew from Pfizer: Anonymous: Japan’s MHLW Approves Pfizer’s CIBINQO® (abrocitinib) for Adults and Adolescents with Moderate to Severe Atopic Dermatitis → https://is.gd/WccRwt12:56
Estik[m]Good afternoon. I use an auto-translator, so don't be offended. Tell me, are they discussing the false covid and everything related to it?13:03
dTalAuto-translate may make conversation tricky13:17
dTalWhat do you mean by "the false covid"?13:18
generaand who is they13:20
dTalgenera, I assume "they" is us13:21
generacould be13:22
BrainstormNew from The Indian Express: World: Woman who survived Spanish flu, world war succumbs to Covid → https://is.gd/DgzCIH13:28
sdfgsdfghey do you guys think a healthy, exercising, strong gentleman 31 years old can survive without the vaccine and not get hospitalized ?13:31
generain early 2020 when they had that outbreak in Bavaria, they closed the gyms that the employees of a certain company visited.13:32
BrainstormUpdates for Romania: +12032 cases (now 1.2 million), +176 deaths (now 37041), +67976 tests (now 12.9 million) since 22 hours ago13:33
sdfgsdfga more serious question though... did anyone reading this get covid ????13:38
undefined_bobsdfgsdfg: most probably yes but there is no guarantee13:39
sdfgsdfgyou've never been sick right bob ?13:39
undefined_bobsick from what?13:39
sdfgsdfgcovid13:39
undefined_bobhell no13:39
BrainstormNew from EMA: What's new: Medicine: Human medicines European public assessment report (EPAR): COVID-19 Vaccine Janssen, COVID-19 vaccine (Ad26.COV2-S [recombinant]), COVID-19 virus infection, Date of authorisation: 11/03/2021, Revision: 8, Status: Authorised → https://is.gd/leysw613:40
sdfgsdfghmmmm. maybe it doesnt' exist13:40
undefined_bobI wear good masks all the time and I avoid humans as much as possible and keep distance13:40
sdfgsdfgI even hold my breath in the elevator13:40
undefined_bobjust wear high quality masks with fit your face well13:41
specingsdfgsdfg: make sure you have loads of vitamin D in your body. Will probably not save you from ICU, but might save you from death13:47
sdfgsdfgthere are academic papers on some people naturally being very immune to covid13:48
generadid they try to infect them?13:49
generaor did they just have some antibodies from prior Coronas?13:49
sdfgsdfgthey didn't bring the paper to me to peer review I wouldn't know13:50
sdfgsdfgthings just pass13:50
sdfgsdfglike emergency powers13:50
de-factonon-vaccinated will have about an order of magnitude or more probability to end up in ICU and grave compared to vaccinated of same age group14:02
de-factobreakthrough infections will have less than half the probability for long covid14:03
sdfgsdfgis there even any research on how cancer patients survival rate is affected if they get the jab14:03
de-factoand even young and healthy can get long covid, many very fit people in sports are affected by that14:03
sdfgsdfg"situation is monitored among cancer patients". Ohhhhh... That's a relief. We can't even accurately predict how long they have left, or whether they are going to survive it14:05
sdfgsdfgEvidence from similar vaccines such as flu vaccinations suggests that the COVID-19 vaccinations are safe and effective for people with cancer. Nor is there any evidence that people with cancer who have the vaccine will experience different or worse potential side effects.14:07
sdfgsdfgquotes from gov websites.... We are clueless14:08
de-factopeople with cancer may have damaged or limited immune capabilities, hence depending on the type of cancer and its progression may be in a risk group for COVID fatality hence may profit more than the average person from vaccination against COVID14:09
de-factointerestingly there was an report of one lymphoma patient with remission of his disease by recovering from COVID, so that shows its more complex and would have to be evaluated at individual basis14:11
de-factoprobably in his case covid killed the bad cells in lymph system or such14:11
sdfgsdfgin general though I think T-Cells are involved in recognition of these tumors14:13
de-factobtw patients with compromised immune system that are not able to kill off the infection with SARS-CoV-2 may be the breeding ground for new variants of concern such as Kent (B.1.1.7, Alpha) etc14:14
de-factoyes and natural killer cells etc its very complex14:14
sdfgsdfgand lymphoma is an exception, it's misleading, it works around immune system directly, so it makes sense vaxx or covid might affect this positively14:14
de-factoit was one anecdotal report of COVID14:14
de-factoyeah it cant be generalized of course14:14
de-factoi just mentioned it to demonstrate that its quite complex and would need to be evaluated on individual basis14:15
dTalanecdotally, the incidence of covid is much lower among us IRC panickers than among the general population :)14:19
undefined_boblol yes, I would agree with that14:19
de-facto.title https://link.springer.com/article/10.1007%2Fs10654-020-00698-1 meaning ifr[age_] := (2^(age/5.74))/ 186209  or 1/ifr[31] ~ 4408 with the 2020 variants, so now its probably already double or more of that fatality, so for non-vaccinated maybe 1 in 2000 or such?14:25
Brainstormde-facto: From link.springer.com: Assessing the age specificity of infection fatality rates for COVID-19: systematic review, meta-analysis, and public policy implications | SpringerLink14:25
de-factodTal, well yeah unless the reason for joining is contamination14:26
BrainstormUpdates for Brunei: +3 deaths (now 43), +5575 tests (now 355811) since a day ago — Switzerland: +968 cases (now 839219), +73067 tests (now 10.8 million) since 23 hours ago14:35
BrainstormNew from COVID tweets: Eric Topol (@EricTopol): In today's @nytimes The remarkable work of Drs @PeterHotez and @mebottazzi to help achieve global vaccination  @TexasChildrens 🙏👋👋 pic.twitter.com/xTnd9o4Rbh → https://is.gd/HoihYE14:55
BrainstormUpdates for Denmark: +2 deaths (now 2656), +141696 tests (now 83.7 million) since 23 hours ago15:00
sdfgsdfgonly 2 deaths in denmark ? nice15:30
sdfgsdfgevolution must have blessed vikings with something against flu-like diseases right15:34
BrainstormUpdates for Belarus: +15 deaths (now 4129), +36760 tests (now 8.5 million) since 23 hours ago15:37
BrainstormNew from The Indian Express (Health): Health: Can vitamin A nasal drops help restore Covid loss of smell? Know what experts say → https://is.gd/zVfrmS15:39
undefined_bobhttps://www.nature.com/articles/s41579-021-00642-415:40
undefined_bob"Influenza lineage extinction during the COVID-19 pandemic?"15:41
de-factohttp://offloop.net/covid19/?default=Germany;Denmark&byPopulation=yes&cumulative=no&smooth=yes&leftTrim=50015:41
undefined_bobsdfgsdfg: and no, many people have died in denmark already15:41
de-factoGermany got double as high fatality rates, but denmark is increasing15:41
de-factowell both countries are increasing15:42
undefined_bobbut in one hour I can finally go home :)15:43
Estik[m]<sdfgsdfg> "hey do you guys think a healthy,..." <- I think I need to go to the village. Only there you can be saved.15:45
sdfgsdfgalright alright I'll go get vaccinated15:46
de-factoi rather like to live in a city with good hospital capacity15:47
de-factothan living in a remote village15:47
undefined_bobbut in remote village less people who can harm you and a helicopter will be there quickly too15:48
sdfgsdfgyou wont have to worry unless youre 40+ years old15:48
undefined_bobno15:48
Estik[m]sdfgsdfg: Why are you tired of living?15:48
sdfgsdfg2 years in lockdown is not living lol15:49
de-factovaccination is as close as you can get to pre-pandemic, its the best we currently have15:50
de-factolast year incidence began to rise in October in Germany15:51
Estik[m]sdfgsdfg: What a pity my friends that I can not show you content that is not in English. Where our president says that it has long been possible to edit DNA.15:52
sdfgsdfgmy ex caught the virus and she was still partying like a ho, 30 yrs old15:53
de-facto.title https://www.thelancet.com/journals/eclinm/article/PIIS2589-5370(21)00299-6/fulltext15:55
Brainstormde-facto: From www.thelancet.com: Characterizing long COVID in an international cohort: 7 months of symptoms and their impact - EClinicalMedicine15:55
de-facto.title https://journals.plos.org/plosmedicine/article?id=10.1371/journal.pmed.100377315:56
Brainstormde-facto: From journals.plos.org: Incidence, co-occurrence, and evolution of long-COVID features: A 6-month retrospective cohort study of 273,618 survivors of COVID-1915:56
specingsdfgsdfg: look, if you don't want to get vaccinated then don't15:56
specingand you don't really have to follow lockdown rules for the most part. Simply because the likelyhood of being caught is low15:56
sdfgsdfgit either gets better or worse, I'll just isolate15:57
de-factoyou cant isolate forever, you can just lower the probability to catch it15:58
sdfgsdfghaha, most of us here are familiar with isolation, it's our comfort zone15:58
de-factounfortunately it was decided that SARS-CoV-2 will stay, hence sooner or later we all will be exposed to that damn thing15:58
undefined_bobde-facto: one just have to be careful?15:59
de-factoand imho its best to prepare for impact with the best methods we currently have, hence vaccination and healthy livestyle15:59
undefined_boblike continue to wear mask and keep distance and so on15:59
undefined_bobI dont wanna get it :(16:00
sdfgsdfgget vaccinated every 4 months then16:00
de-factoneither do any of us, but better to get exposed with a non-naive immune system than being among those with the highest risk of that age group16:01
BrainstormNew from Reddit (test): China_Flu: People with natural immunity and subsequent mRNA vaccination can neutralize viral particles capable of resisting vaccine-induced antibodies → https://is.gd/DL9POI16:01
BrainstormUpdates for Nepal: +898 cases (now 795061), +12 deaths (now 11135) since a day ago16:02
specingsdfgsdfg: yep, planning to do just that16:13
de-factoimho its a good idea to get vaccinated now to prepare for the winter, because not only will reproduction increase about 40% because of seasonality, also containment measures will be less because of so many vaccinated already16:18
de-factothat means the reported incidence is concentrated on a non-vaccinated minority hence much much higher among those than the reported averaged incidence for all citizens (both vaccinated and non-vaccinated)16:20
de-factoand still despite the majority being vaccinated already the majority of hospitalized is not vaccinated, meaning the protection seems to work pretty well so far16:21
BrainstormNew from Contagion Live: STIs and Usage of PrEP During the COVID-19 Pandemic: Rates of Sexually Transmitted Infections (STIs) and engagement in HIV pre-exposure prophylaxis during the COVID-19 pandemic were previously unknown, but one IDWeek study examined these data trends over the past few years. → https://is.gd/xs6Wkt16:23
de-factooh wow RKI got a new dashboard for COVID data16:24
de-facto.title https://www.rki.de/DE/Content/InfAZ/N/Neuartiges_Coronavirus/Situationsberichte/COVID-19-Trends/COVID-19-Trends.html?__blob=publicationFile#/home16:24
Brainstormde-facto: From www.rki.de: Covid-19-Trends in Deutschland im Überblick16:24
Estik[m]I will say this, I myself have been ill. Alive and healthy. And the vaccine has encoded DNA, which is inherited. What did they put there? Only God knows!16:25
de-factothat looks really nicely done16:25
de-factoEstik[m] that info is false, the vaccine does NOT contain encoded DNA and it is destroyed within days, nothing will change your DNA from the vaccine16:26
undefined_bobEstik[m]: thats false16:26
qkall[m]de-facto: doing gods work out here today16:26
de-factonone of the mRNA or vector vaccines would do such a thing, it was discussed many many times already16:26
de-factothe vaccines contain the recipe to produce the spikes of the coronavirus, those get exposed on the cells surface and the immune system develops immunity against those spikes hence learns to also neutralize the real virus16:28
de-factothat recipe is encoded either in mRNA or DNA plasmids, those are very short lived and get destroyed quite quickly in the cells, there is no residual left from that16:29
Estik[m]undefined_bob: Sputnik V and the like contain one hundred percent! There is proof.16:29
de-factoSputnik V is a adenovirus vector vaccine (just as AstraZeneca and Janssen)16:30
undefined_bobthis lol16:30
Estik[m]ACTION uploaded a video: (27639KiB) <16:31
Estik[m]https://libera.ems.host/_matrix/media/r0/download/matrix.org/KtbSsAiEOnKlbvqlpvcqkeMz/%D0%93%D0%98%D0%9D%D0%A6%D0%91%D0%A3%D0%A0%D0%93_%20%C2%AB%D0%A1%20%D0%9F%D0%9E%D0%9C%D0%9E%D0%A9%D0%AC%D0%AE%20%D0%92A%D0%9A%D0%A6%D0%98%D0%9D%20%D0%9B%D0%AE%D0%94%D0%AF%D0%9C%20%D0%92%D0%92%D0%9E%D0%94%D0%AF%D0%A2%20%D0%9D%D0%95%20%D0%91%D0%95%D0%9B%D0%9E%D0%9A%2C%20%D0%90%20%D0%93%D0%95%D0%9D%2C%20%D0%9A%D0%9E%D0%A2%D0%9E%D0%A0%D0%AB%D0%99%20%D0%9A%D0%9E16:31
Estik[m]%D0%94%D0%98%D0%A0%D0%A3%D0%95%D0%A2%D0%A1%D0%AF%C2%BB.mp4 >16:31
de-factoit uses replication-deficient adenovirus particles at transport vectors for a DNA plasmid that encodes the recipe to produce the spike protein, it gets translated to mRNA that gets transcribed into s-protein, neither the DNA plasmid nor the mRNA would get integrated in the cells  DNA16:31
de-factoit is not gene editing or anything like that, please inform yourself before spreading such false info16:33
de-factoits the natural way of cells to produce proteins16:34
de-factobtw exactly that mechanism is also hijacked by any virus to reproduce itself16:34
de-factoexactly that happens all the time in cells16:35
Estik[m]You may be right. But I would not trust my non-WHO government. As our prizidet said such technologies have been available for a long time. And they will soon be implemented.16:37
de-factowhat matters is what is encoded in the mRNA, its the recipe to build proteins, it can be used to encode almost anything, a virus encodes his own build-recipe, the vaccines just that small part, the s-protein of SARS-CoV-216:37
qkall[m]don't trust anyone other than the peer reviewed process of globally sourced data.  it's teh best vetting process we have.16:38
de-factoits a bit like a computer program: it can encode good and useful things, but also bad things like viruses etc16:38
de-factoyes i agree, but those vaccines have been independently reserve engineered16:38
de-facto.title https://github.com/NAalytics/Assemblies-of-putative-SARS-CoV2-spike-encoding-mRNA-sequences-for-vaccines-BNT-162b2-and-mRNA-127316:39
Brainstormde-facto: From github.com: GitHub - NAalytics/Assemblies-of-putative-SARS-CoV2-spike-encoding-mRNA-sequences-for-vaccines-BNT-162b2-and-mRNA-1273: RNA vaccines have become a key tool in moving forward through the challenges [...]16:39
de-factoone example of reversing the vaccine code16:39
BrainstormUpdates for Qatar: +85 cases (now 236643), +1 deaths (now 606), +6069 tests (now 2.7 million) since a day ago — Germany: +7322 cases (now 4.2 million) since 23 hours ago — Faroe Is.: +17 cases (now 1178), +2000 tests (now 431000) since 22 hours ago16:39
Estik[m]I don't have time to translate for you.  And answer. We'll do it another time. Goodbye.🙂16:45
de-facto.title https://berthub.eu/articles/posts/reverse-engineering-source-code-of-the-biontech-pfizer-vaccine/16:45
Brainstormde-facto: From berthub.eu: Reverse Engineering the source code of the BioNTech/Pfizer SARS-CoV-2 Vaccine - Bert Hubert's writings16:45
de-facto.title https://berthub.eu/articles/posts/part-2-reverse-engineering-source-code-of-the-biontech-pfizer-vaccine/16:46
Brainstormde-facto: From berthub.eu: Reverse Engineering Source Code of the Biontech Pfizer Vaccine: Part 2 - Bert Hubert's writings16:46
de-facto.title https://berthub.eu/articles/posts/curevac-vaccine-and-wonders-of-biology/16:47
Brainstormde-facto: From berthub.eu: The CureVac Vaccine, and a brief tour through some of the wonders of nature - Bert Hubert's writings16:47
de-facto.title https://berthub.eu/articles/posts/genetic-code-of-covid-19-vaccines/16:47
Brainstormde-facto: From berthub.eu: The Genetic Code and Proteins of the Other Covid-19 Vaccines - Bert Hubert's writings16:47
de-factothat new dashboard for Germany from RKI is really nice it even allows trends per age group display options, that is really helpful https://www.rki.de/DE/Content/InfAZ/N/Neuartiges_Coronavirus/Situationsberichte/COVID-19-Trends/COVID-19-Trends.html?__blob=publicationFile#/home16:58
de-factooh and they have a difference with days of previous week, that shows if there is an increase/decrease relative for each day of previous week17:02
de-factounfortunately it seems the decrease is over and we may transition into an increase again17:03
lastshellwhat language is it the video ?17:07
BrainstormNew from EMA: What's new: General: Guidance for medicine developers and other stakeholders on COVID-19 → https://is.gd/bb9aBG17:27
MerlinMp[m]<sdfgsdfg> "you wont have to worry unless..." <- Im 40+ and had covid some time ago (probably alpha variant)17:36
BrainstormNew from LitCovid: (news): How Life Can Return to Normal: Ending the COVID-19 Pandemic. → https://is.gd/ksD61H17:50
BrainstormNew from WebMD: A Pill to Treat COVID Could Be Just Months Away: At least three promising antiviral treatments for covid-19 are being tested in clinical trials, with results expected as soon as late fall or winter. → https://is.gd/l2rX2R18:01
BrainstormUpdates for United Kingdom: +23827 cases (now 7.8 million), +1175835 tests (now 303.4 million) since 15 hours ago — Greece: +2232 cases (now 655767), +33 deaths (now 14828), +150433 tests (now 20.1 million) since 23 hours ago — Jordan: +1027 cases (now 823919), +8 deaths (now 10718), +31384 tests (now 10.1 million) since 21 hours ago [... want %more?]18:31
LjLoh bleh18:40
LjLi repeatedly noticed the extremely high testing numbers there above in the UK, and thought, sure they have more cases, but they also have about 4x italy's tests (around 300k on the best days)18:41
LjLbut then turns out the vast majority are "pillar 3" tests https://coronavirus.data.gov.uk/details/testing which means neither PCR nor rapid, but antibody tests18:41
LjLwait no i'm wrong18:42
LjLignore me18:42
LjLso yeah they actually do test about 4x as much as Italy, unless i should be ignored again18:43
BrainstormNew from COVID tweets: Rio Slade lives on land stolen from the Mvskoke (@RioSlade): When the Immune Response Makes COVID-19 WorseIf the immune system makes mistakes—reacting late or getting the target wrong—it can amplify the damage wrought by SARS-CoV-2.the-scientist.com/news-opinion/w… pic.twitter.com/LwFDQ61epC → https://is.gd/k3EMFZ18:56
BrainstormUpdates for Greenland: +3 cases (now 576), +1090 tests (now 75813) since a day ago19:08
de-factoLjL, but then positivity rate in UK is 3.5% (possibly saturating or rising) and in Italy its only 1.2% (and potentially falling) according to https://ourworldindata.org/grapher/positive-rate-daily-smoothed19:17
BrainstormNew from Reddit (test): CoronaVirus_2019_nCoV: Amherst school district to require student COVID-19 vaccines; that has full federal approval by Dec. 1 to continue attending classes. Medical and religious exemptions are allowed. → https://is.gd/3X79KE19:19
LjLde-facto: I know, but our testing remains ridiculous, considering 300k a day is more or less the maximum we *ever* reached, even when we had high rates (but to be fair, back then they were all PCR, now among the 300k, most are rapid antigen, which bring the rate way down)19:19
de-factohmm everywhere in Europe positivity seems to be much lower, just stupid old Germany got 7.5% :/19:20
de-factowell maybe preselected with rapid tests, i think those are all confirmed via PCR later19:20
zutthmh, government lifted mask recommendation today in Finland :F19:21
zuttI'm not sure how I feel about that yet19:22
de-factozutt, how are vaccinations progressing in Finland?19:24
LjLde-facto: if the rapid tests are positive... But as you know rapid tests have a ton of false negatives. So it's not meaningful to compare a time when we had 300k PCR a day with one when we have (just guessing now, I don't have the numbers in front of me anymore) 200k rapid and 100k PCR. I can tell you how much the actual *PCR* positive rate is, hold on... It's going to be relatively low still, but definitely higher than 1%19:25
zuttquite well, ~80% of over 12 year olds have received at least one vaccination19:25
de-factothat sounds very good actually19:26
LjLActually, hold on until I'm home, doesn't look like I can see the graphs separately on mobile :p19:28
de-factoafaik RKI targets 85% 12-59 and 90% for over 60 year olds to be vaccinated for Delta VoC19:29
BrainstormNew from COVID tweets: Eric Topol (@EricTopol): The relationship of #SARSCoV2 genomic variant (by sequencing), risk of hospitalization, and reduction by vaccinationmedrxiv.org/content/10.110…Beta, Gamma, and Delta infections all increase risk of hospitalizationVaccination reduces that risk across all major variants@paredesmig pic.twitter.com/WPyrZSrdFw → https://is.gd/K37tfZ19:30
de-factoLjL, yeah rapid antigen tests and pcr should be compared each in own category, afaik only rapid antigen tests found only 2 out of 5 PCR positive or such19:30
de-facto.title https://www.thelancet.com/journals/ebiom/article/PIIS2352-3964(21)00248-6/fulltext19:32
Brainstormde-facto: From www.thelancet.com: Clinical performance evaluation of SARS-CoV-2 rapid antigen testing in point of care usage in comparison to RT-qPCR - EBioMedicine19:32
de-facto"The sensitivity of RDT compared to RT-qPCR was 42·57% (95% CI 33·38%–52·31%). The specificity was 99·68% (95% CI 99·48%–99·80%). Sensitivity declined with decreasing viral load from 100% in samples with a deduced viral load of ≥10^8 SARS-CoV-2 RNA copies per ml to 8·82% in samples with a viral load lower than 10^4 SARS-CoV-2 RNA copies per ml."19:32
de-factoof course depending on the actual tests in use, but i would guess the technologies still perform similar to those as PCR got the advantage of having amplification of the signal while RDT needs higher loads (hence later detection) of viral loads19:36
LjLde-facto, today, PCR: 2.42%, antigen: 0.13%.  at the latest peak (August), PCR: 9.80%, antigen: 0.36%19:37
LjLthe difference is striking to say the least19:37
de-factowell but probably antigen is more often done "without suspicion" than PCR19:38
de-factojust because its cheaper19:38
de-factoand faster19:38
de-factoand has to be done more often due to lower sensitivity anyhow19:38
de-factoLjL, out of curiosity, do you know what those cost in Italy? RDT and PCR?19:38
de-factoAntigen rapid diagnostic tests (RDT)19:39
de-factohere in Germany people will have to pay for the tests themselves soon, i guess that means we will see LOT less cases19:42
de-factofrom 11th of October19:42
de-facto.tr <de die Preise für Antigen-Schnelltests zwischen 18 und 40 Euro, PCR-Tests können sogar über 130 Euro kosten19:43
Brainstormde-facto, German to English: the prices for rapid antigen tests between 18 and 40 euros, PCR tests can even cost over 130 euros (MyMemory, Google)19:43
de-facto.tr <de Laut Bundesgesundheitsministerium (BMG) können die Preise mithilfe der bestehenden Vergütungshöhen geschätzt werden. Der Bund erstattet bisher 11,50 EUR für Schnelltests und 43,56 EUR für PCR-Tests.19:43
Brainstormde-facto, German to English: According to the Federal Ministry of Health (BMG), the prices can be estimated using the existing reimbursement levels. So far, the federal government has reimbursed EUR 11.50 for rapid tests and EUR 43.56 for PCR tests. (MyMemory, Google)19:43
de-facto.tr <de Ab dem 11. Oktober 2021 müssen viele Ungeimpfte für ihre Corona-Tests dann aber tief in die eigene Tasche greifen. Kostenlos sind die Corona-Tests dann nämlich nur noch für die Personen, die sich nicht impfen lassen können, weil für sie keine allgemeine Impfempfehlung besteht19:44
Brainstormde-facto, German to English: From October 11, 2021, many unvaccinated people will have to dig deep into their own pockets for their corona tests. The corona tests are then only free of charge for people who cannot be vaccinated because there is no general vaccination recommendation for them (MyMemory, Google)19:44
de-factofrom https://www.fr.de/panorama/corona-test-schnelltest-ungeimpft-kosten-preis-teuer-coronavirus-pandemie-teststation-ltt-91022898.html19:44
de-factobtw in supermarket the rapid antigen tests can be bought for 1€ or less per test, but samples have to be taken in a do-it-yourself approach, so potentially not as well as in testing stations or GPs19:46
de-factoanyhow imho its a stupid and completely wrong approach to artificially ramp down testing at the begin of the winter wave in October19:47
de-factobecause it will lead to less people being aware of being currently infectious, hence happily spreading it around19:47
LjLde-facto, i think for workers needing a green pass, the price of rapid test has been fixed to €15. someone else said here it's €22 generally, not sure. this is about antigen tests administered by a pharmacist (i don't know about the self-administered ones, but those don't end up in the daily counts anyway). PCR is probably free but requiring a medical prescription19:48
de-factoyeah so pretty similar in prices then19:49
LjLi just don't really know if we have cheap self-administered ones. Amazon sells them but they are not cheap at all (not €1 at least, more like €15-20)19:49
LjLbut again that's irrelevant to the stats19:50
de-factoimho the strategy should be to motivate more people to get tested, just to end more infection chains, yet it seems the exact opposite of that is currently implemented right now19:50
de-factohonestly i dont understand why19:50
de-factoit does not make any sense to me, case numbers are just going to be much less reliable19:50
goodtothebonedont get the antigen treatment , side effects for that is the swelling for the brain19:51
de-factoand reproduction will go up, in addition to seasonal effects19:51
BrainstormNew from r/WorldNews: worldnews: Covid-19 Breakthrough Infections in Vaccinated Health Care Workers | NEJM → https://is.gd/KAeoYW19:51
de-facto.title https://theconversation.com/preliminary-research-finds-that-even-mild-cases-of-covid-19-leave-a-mark-on-the-brain-but-its-not-yet-clear-how-long-it-lasts-16614519:52
Brainstormde-facto: From theconversation.com: Preliminary research finds that even mild cases of COVID-19 leave a mark on the brain – but it's not yet clear how long it lasts19:52
de-factoyeah COVID can damage the brain it seems, another reason to get vaccinated hence avoid being exposed to it with a naive immune system19:53
de-factohmm maybe they deliberately want to make case numbers unreliable by preventing people to go for a test by making them pay for it themselves and dont support quarantine anymore just to enforce the only metric that delivers somewhat reliable results are hospitalizations and fatalities19:59
de-factobut that means we are basically blind for any breakthrough waves burning through the vaccinated, we only would notice those too late then19:59
de-factoits time for this government to go away and be replaced with a better one20:00
BrainstormNew from COVID tweets: Eric Topol (@EricTopol): We're at 56% US total population fully vaccinated.We need to get to at least 75% to achieve containment, as has been determined by at least 12 countries (w/ caveats and contingencies)news.yahoo.com/what-is-bidens…by @alexnazaryan @YahooNews pic.twitter.com/E4U2nPyZdz → https://is.gd/Eafo7z20:02
de-factooh US expectations are lower than RKIs then20:03
BrainstormNew from Contagion Live: us: Racial, Ethnic Disparities in COVID-19 Incidence in People Living With HIV → https://is.gd/0NWu5020:23
BrainstormUpdates for Spain: +2400 cases (now 5.0 million), +18 deaths (now 86415) since 23 hours ago — Canada: +63 deaths (now 27840) since 22 hours ago20:29
BrainstormNew from r/Science: science: Scientists at Stanford University and the University of North Carolina have developed a 3D printed vaccine patch. The new 3D printed vaccine patch offers greater protection than jabs. → https://is.gd/eZBniV20:45
de-facto.title https://www.researchsquare.com/article/rs-951263/v121:02
Brainstormde-facto: From www.researchsquare.com: Comparison of fourteen Rapid Point-of-Care Antigen Tests for SARS-CoV-2: Use &amp; Sensitivity | Research Square21:02
BrainstormNew from CIDRAP: News Scan for Sep 30, 2021: ECMO and COVID death Breakthrough COVID-19 in Scotland Wearable sensors for flu, colds H5N6 avian flu cases in China CWD testing incentive in Louisiana Illinois rabies death → https://is.gd/7SMNn021:18
nixonix.title https://www.ons.gov.uk/peoplepopulationandcommunity/healthandsocialcare/conditionsanddiseases/articles/coronaviruscovid19infectionsurveytechnicalarticle/analysisofpopulationsintheukbyriskoftestingpositiveforcovid19september202122:00
Brainstormnixonix: From www.ons.gov.uk: Coronavirus (COVID-19) Infection Survey technical article - Office for National Statistics22:00
nixonix.title https://twitter.com/DrEricDing/status/144341119992059495622:01
Brainstormnixonix: From twitter.com: Eric Feigl-Ding (@DrEricDing): "⚠️NATURAL IMMUNITY versus VACCINES—Which is stronger? Let’s compare reinfection breakthroughs vs vaccine breakthroughs: ➡️Natural immunity is **MUCH weaker than [...]22:01
nixonixlots of caveats, as usual. not age stratified, or adjusted per region etc, or by time since 2nd dose or infection22:05
nixonixyounger are more likely skip vaccination, have more risky behavior, are more often urban where delta prob came earlier (notice the difference reduced after the first two months, when delta likely reached rural regions and small towns)22:07
nixonixlets compare how long since infection or 2nd dose: end date was septemper 20. i checked us total identified cases on that date, took half of it, and that total identified case number was reached january 4th, so half got infected befor dec 31 202022:15
lastshellI'm not sure to laugh or cry https://www.youtube.com/watch?v=2S2v45_NSYs22:15
de-factohm on that comparison of vaccine vs natural immunity i miss a date on immunity, e.g. how long was recovery or completion of vaccination gone after breakthrough/reinfection?22:17
lastshellI guess depends of how bad was the infection ?22:17
de-factoand how long ago22:18
de-factonot only because of antigenic drift but also because of waning22:18
de-factoimmunity fading away22:18
lastshelldoes antibodies also drop for natural infection ?22:18
nixonixfor vaccinated, half got their 2nd dose before apr 23 2021. so theres roughly 4.5 months more time on average since unvaccinated's primary infection. sure for some of them it wasnt the first on, which improved their protection, but also some vaccinated had infection before22:19
de-factoUKs big wave was from Sept 2020 till March 202122:21
de-factoso probably most naturally immunized got their infection in that timewindow22:21
nixonixso for the last month, septemper, in that oklahoma data vaccinated had around 4.5 months since the 2nd dose, and unvaccinated roughly 9 months since their primary infection, on average22:21
de-factohttps://www.worldometers.info/coronavirus/country/south-korea/%20https://www.worldometers.info/coronavirus/country/uk/22:21
nixonixreally hard to say if vaccinated really had better protection vs identified infection or not in oklahoma. but vaccination beats "natural infection" for sure, because you dont have to get infection without protection from adaptive immune response22:24
de-factomost vaccination doses in UK were given between mid of Jan till begin of July https://ourworldindata.org/grapher/daily-covid-vaccination-doses-per-capita?country=~GBR22:24
nixonixthat idea of natural infection without protection is just crazy. now antivaxers try to sell it using that flawed israeli study, and "protection" from ivermectin22:25
de-factooh that is not UK data?22:25
lastshellnixonix ivermectin is still in high demand in us22:26
lastshelleven if is not fda approved22:26
nixonixno, oklahoma22:26
de-factoargh forget my links then22:26
nixonixthat one in erics tweet above22:26
de-factoyeah22:26
nixonixanyways, with my rough guess, using above adjustments and some estimation, during may-june vaccination beat "natural infection" protection clearly, but after that when vax was waned, it was probably close22:28
lastshellJc post other video about Aspiration (for the injection) https://www.youtube.com/watch?v=KgVsd6qoyU422:28
nixonixshould have used oklahoma's infections and vaccinations instead of their national... but prob doesnt change much, that raw data is just too messy to get any accurate estimations22:28
de-factoOklahoma infections between early Sept and March https://www.worldometers.info/coronavirus/usa/oklahoma/ vaccinations early Feb till early May or such https://ourworldindata.org/grapher/us-daily-covid-vaccine-doses-per-100?country=~Oklahoma22:31
nixonixtwo days earlier for half of total infections, jan 2 (and infected in the end of dec). for vaccinations, i dont bother to check, its prob very close to national vax rate anyway22:31
nixonixlooks like mrna (mostly) vaxes with 3/4 week interval gives only around 3 months good protection vs identified infection with delta, from that oklahoma data. which is consistent with my earlier observations from qatar, israel etc22:34
de-factohopefully more with 6 weeks22:35
nixonixthat ons data, see how bad az is vs identified cases. munro tried to play it down in twitter22:36
nixonix.title https://twitter.com/MarvinH2_G2/status/144354848897388953722:36
Brainstormnixonix: From twitter.com: Marvin (@MarvinH2_G2): "Should boost with the Pfizer vaccine and ditch the duff one with the UnionJack on it. Worried about Pollard on JCVI's comments which didn't distinguish between AZ and Pfizer - [...]22:36
de-factohmm look at the slopes of those curves22:38
de-factothats interesting22:38
de-factohttps://pbs.twimg.com/media/FAhU1fzWEAUD7Mz?format=jpg&name=large22:39
nixonixmight be other reasons than about immunity. behavioral, restrictions, waves etc. sure if they dont sync with other vaccine it might tell about difference of several components of immunity, but it could also be because different age and other groups were used az vs pfizer22:40
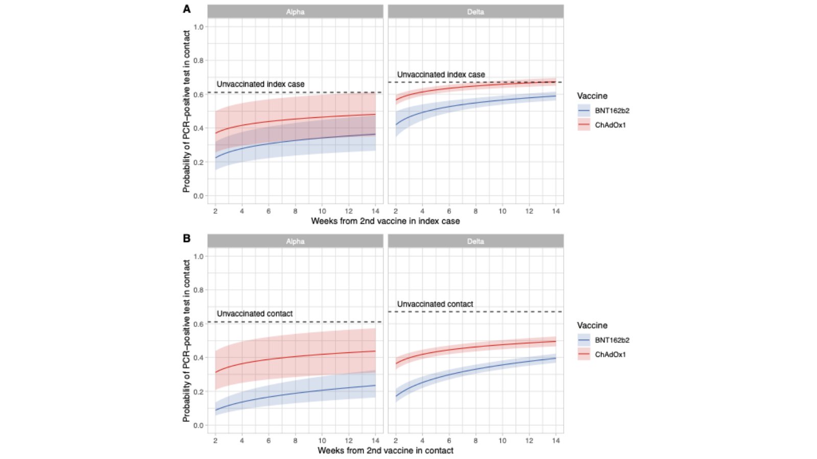
de-facto.title https://www.medrxiv.org/content/10.1101/2021.09.28.21264260v122:41
Brainstormde-facto: From www.medrxiv.org: The impact of SARS-CoV-2 vaccination on Alpha and Delta variant transmission | medRxiv22:41
de-factopage 2322:41
nixonixon those they went in sync, but i think some curves werent, if i recall22:41
nixonixno, it was just those last curve, delta vs alpha (not vax vs vax)22:43
nixonixbtw because vax vs vax curves behaved so similarly, that hints that killer t-cells didnt have much effect on identified cases, because apparently az has stronger killer t-cell response22:45
BrainstormNew from Contagion Live: How COVID-19 Impacted HIV Testing in the Emergency Department: In a study looking at one urban South Florida hospital, the pandemic negatively impacted testing. → https://is.gd/tkm9au22:46
nixonixhow about ct values vs pcr-positive, the last curves, what does that tell about share of unviable virions, delta vs alpha?22:49
nixonixwhen my assumption was, because over 1000x higher viral loads with delta (vs alpha, wasnt it), there would be higher share of unviable virions with delta, so the actual difference would prob be smaller22:50
nixonixand i think some study showed it was, like i guessed, somewhere between 10-100x22:50
de-factoit was 1000 fold against 2020 variants, so probably B.1 or such22:51
nixonixok22:51
de-facto.title https://www.medrxiv.org/content/10.1101/2021.07.07.21260122v222:52
Brainstormde-facto: From www.medrxiv.org: Viral infection and transmission in a large, well-traced outbreak caused by the SARS-CoV-2 Delta variant | medRxiv22:52
de-facto"Daily sequential PCR testing of the quarantined subjects indicated that the viral loads of Delta infections, when they first become PCR+, were on average ∼1000 times greater compared to A/B lineage infections during initial epidemic wave in China in early 2020, suggesting potentially faster viral replication and greater infectiousness of Delta during early infection."22:53
de-factoso maybe even pre B.122:53
de-factois that without D614G?22:53
nixonixbut from that last curve set, it looks like if similar viral loads they infect as much, but with lower viral loads, delta infects more efficiently (sure actually delta has higher viral loads, so it infects more on average)22:53
de-factoyeah its compared to the very earliest cases in China22:54
nixonixin the spring 2020 it varied by area, if it was mostly 614D or 614G. then 614G replaced it, but it took some time (maybe 20-25% transmission advantage only)22:54
nixonixi think china was mostly D. was it ever found out, where 614G likely emerged?22:55
de-factofirst seen in north of italy afaik22:55
nixonixyeah but it was hidden early on, so were there other areas that werent much in contact with italy, that had 614G early on22:56
nixonixusa was mixed, west coast got it mostly from china, east coast mostly from europe22:57
nixonixlots of europe got it from austria mostly, i think22:58
nixonixcant remember what were A and B lineage differencies23:00
nixonixThe Indian Council of Medical Research (ICMR) and the National Task Force on Covid-19 have dropped the use of Ivermectin and Hydroxychloroquine (HCQ) drugs from their revised guidelines for the treatment of the infection. The decision was taken after experts found that these drugs have little to no effect on Covid-related mortality or clinical23:01
nixonixrecovery of the patient.23:01
de-factoyeah its hard to tell because it does not really migrate slowly but jumps rapidly around globally via fast airplane travel23:02
nixonix.title https://www.indiatoday.in/coronavirus-outbreak/story/why-hcq-ivermectin-dropped-india-covid-treatment-protocol-1857306-2021-09-26  4 days old23:02
Brainstormnixonix: From www.indiatoday.in: Why HCQ and Ivermectin were removed from India’s Covid-19 treatment protocol - Coronavirus Outbreak News23:02
de-factoif it was first seen in north italy, how can we know it was not introduced a day before by some tourist from any other location of the world23:02
nixonixbtw, i think delta is somewhat less superspreader driven, because with delta larger share of people produces particle clouds that are dense enough to infect several, if they are at the same premises. so superspreaders "advantage" to produce dense clouds, more is "wasted" when not enough people around, or air just doesnt propagate efficiently enough23:05
nixonixin large premises23:05
de-factohmm is something saturated? are all infected in a room? or is viral shedding of super spreaders saturated?23:06
BrainstormNew from Contagion Live: Discontinuing Precautions in Asymptomatic, PCR-Positive COVID-19 Patients: A survey found most healthcare professionals would clear an asymptomatic patient with a positive PCR test if the patient met other criteria. → https://is.gd/PLVhvI23:07
nixonixalso if there is particle cloud when you are inside somewhere, its more often dense enough to pass any masks, excluding PAPR. so bad masks with lots of side flow are even less usefull, because those marginal situations where they might help, are more rare23:07
nixonixbut its most likely about initial viral dose, if your innate immunity beats it or not, because if you get only small number of virions, exponential growth takes time to get the numbers up - and the same with expanding nk cells (and those with some immunity, abs present in upper resp tract)23:10
nixonixso while even the best FFP3 mask tight so that your eyes bulge out doesnt probably stop it, because cloud densities are often very high, it gives more time before they multiply to high numbers23:12
nixonixsaturated in some area (to high enough numbers to likely infect), but it depends on airflow what area that would be23:13
nixonixbetter avoid places near exhaust vents, back of bus etc, imo23:14
nixonixand try to keep the time inside as short as possible. quick shopping23:15
de-factosomeone i know does a nasal shower (0.9% salty water) with povidone-iodine to kill the germs23:18
de-factoin case he feels like getting a cold or such23:18
nixonixdoesnt your mucosa get damaged so that infection would be more likely?23:19
de-factoi am not sure, i think povidione-iodine at low concentrations is somewhat tolerable for some limited amount of time23:19
nixonixyeah. i remember some studies found some stuff like that useful. maybe23:20
de-factoout of curiosity i tried 250ml 0.9% NaCl solution in water with 4 drops of povidione-iodine every 8h for 4 days without any bad effects23:20
de-factoi did not had any cold, just experimentation, so i cant tell if it also affects immune cells on the mucus surface23:21
de-factoi asked my throat-nasal-ears specialist MD and she said, yeah it does not hurt the mucus23:21
de-factoif it helps against COVID? i dont have a clue actually23:22
de-factobtw i would never do that with alcohol or any other substance23:22
nixonix.title https://link.springer.com/article/10.1007/s00405-021-06644-523:24
Brainstormnixonix: From link.springer.com: A sprayable Acid-Oxidizing solution containing hypochlorous acid (AOS2020) efficiently and safely inactivates SARS-Cov-2: a new potential solution for upper respiratory tract hygiene | SpringerLink23:24
nixonixand there was some common sniffles spray, i think some study found it to work reducing viral load or something. cant remember what they used (i have combo with two affecting components, just for sniffles)23:26
BrainstormNew from Contagion Live: Early 3-Day Remdesivir Regimen Reduces COVID-19 Hospitalization, Death by 87%: The study author of the late-breaking IDWeek findings discusses what the new data mean for using the antiviral to reduce COVID-19 burden. → https://is.gd/5SJiij23:28
de-factooh btw the manufacturer says "NO it was not shown to help" https://betadine.com/covid-19/23:30
de-facto"Betadine Antiseptic products have not been demonstrated to be effective for the treatment or prevention of COVID- 19 or any other viruses."23:31
de-factoalthough some papers showed that it may be able to reduce viral loads a bit23:31
nixonixIpratropium bromide - this is the component needed for runny nose (use only couple of the worst days, or it might make it stuffy)23:32
nixonixso with that prob less damaged mucosa too, and less hampered innate response, that healthy mucous membrane is part of23:33
nixonixinterferon spray would be good, if you get it early enough. but should be during the first few hours after infection. or used as a prophylaxis, if you really must go to high risk situation23:35
de-facto.title https://jamanetwork.com/journals/jamaotolaryngology/fullarticle/277078523:37
nixonix.title https://edition.cnn.com/2021/09/27/health/covid-treatment-pill-khn-partner/index.html  EIDD-2801. its like 1.5 years ago, when we started to talk about this...23:37
de-facto.title https://jamanetwork.com/journals/jamaotolaryngology/fullarticle/277598423:37
Brainstormnixonix: From edition.cnn.com: A pill to treat Covid-19: 'We're talking about a return to, maybe, normal life' - CNN23:37
Brainstormde-facto: From jamanetwork.com: In Vitro Efficacy of a Povidone-Iodine Nasal Antiseptic for Rapid Inactivation of SARS-CoV-2 | Global Health | JAMA Otolaryngology–Head & Neck Surgery | JAMA Network23:37
nixonixslap that bot23:37
* de-facto slaps Brainstorm 23:38
Brainstormde-facto: Do as you wish!23:38
* de-facto slaps Brainstorm again23:38
Brainstormde-facto: Do as you wish!23:38
de-factomeh23:38
de-facto.title https://jamanetwork.com/journals/jamaotolaryngology/fullarticle/277078523:38
Brainstormde-facto: From jamanetwork.com: In Vitro Efficacy of a Povidone-Iodine Nasal Antiseptic for Rapid Inactivation of SARS-CoV-2 | Global Health | JAMA Otolaryngology–Head & Neck Surgery | JAMA Network23:38
de-facto.title https://jamanetwork.com/journals/jamaotolaryngology/fullarticle/277598423:38
Brainstormde-facto: From jamanetwork.com: Povidone Iodine Mouthwash, Gargle, and Nasal Spray to Reduce Nasopharyngeal Viral Load in Patients With COVID-19: A Randomized Clinical Trial | Pathology and Laboratory Medicine | JAMA [...]23:38
de-factoyeah nixonix inferferon (alpha?) spray would be a great idea probably23:39
de-facto.title https://www.nature.com/articles/s41586-021-03696-923:44
Brainstormde-facto: From www.nature.com: Naturally enhanced neutralizing breadth against SARS-CoV-2 one year after infection | Nature23:44
de-factoNusszweig lab ^^23:46
de-facto*Nussenzweig23:47
BrainstormNew from CIDRAP: Rural Americans more likely to die from COVID-19: Stephanie Soucheray | News Reporter | CIDRAP News Sep 30, 2021 People in rural areas are currently twice as likely to die from COVID-19 as their urban peers. → https://is.gd/rQEwCO23:49
nixonixalpha or beta prob all useful, because cells use common IFNAR receptor complex, and activete t-cells, dendritic and nk cells, which then produce IFN-gamma that activates b-cells. and sars2 suppresses that initial interferon response23:51
nixonixbut there are different versions of those, depending on genes that express those subtypes. not sure about the differencies in practice. then recombinants that are modified somehow. there was some recent news if i find it23:53
de-facto.title https://edition.cnn.com/2021/09/21/health/johnson-vaccine-two-doses-booster/index.html23:54
Brainstormde-facto: From edition.cnn.com: Two dose version of Johnson & Johnson shot 94% effective against Covid-19, study finds - CNN23:54
de-facto"A second study showed people given a booster shot six months or longer after their first dose had a 12-fold increase in antibodies -- compared to a four-fold increase for people who got a second dose at two months. "23:54
de-factothat is interesting, so tripling the time between primer and booster tripples ab titers?23:54

Generated by irclog2html.py 2.17.0 by Marius Gedminas - find it at https://mg.pov.lt/irclog2html/!